Die Application Gallery bietet COMSOL Multiphysics® Tutorial- und Demo-App-Dateien, die für die Bereiche Elektromagnetik, Strukturmechanik, Akustik, Strömung, Wärmetransport und Chemie relevant sind. Sie können diese Beispiele als Ausgangspunkt für Ihre eigene Simulationsarbeit verwenden, indem Sie das Tutorial-Modell oder die Demo-App-Datei und die dazugehörigen Anleitungen herunterladen.
Suchen Sie über die Schnellsuche nach Tutorials und Apps, die für Ihr Fachgebiet relevant sind. Beachten Sie, dass viele der hier vorgestellten Beispiele auch über die Application Libraries zugänglich sind, die in die COMSOL Multiphysics® Software integriert und über das Menü File verfügbar sind.
Ein Potentialströmungsmodell für die Strömung in einer Felsspalte verwendet die sogenannte Reynolds-Gleichung. Es zeigt, wie man experimentelle Daten verwendet, die auf eine in der Gleichung verwendete Funktion interpoliert werden. Mehr lesen
This model how to build and solve a conductive heat transfer problem using the Heat Transfer interface. The model, taken from a NAFEMS benchmark collection, shows an axisymmetric steady-state thermal analysis. As opposed to the NAFEMS benchmark model, we use the temperature unit kelvin ... Mehr lesen
An Electromagnetic Band Gap (EBG) structure can be used to increase the isolation between antennas close to each other. The decoupling effect is not only a function of frequency but also polarization and coupling-plane configuration. When designing an EBG structure, one needs to make ... Mehr lesen
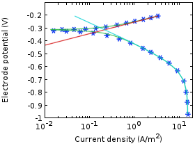
This tutorial shows how to use the Optimization interface to perform electrode kinetics parameter estimations based on polarization data. A zero-dimensional electrode polarization model is defined that separates kinetics expressions for the metal dissolution and the oxygen reduction ... Mehr lesen
Bei der Entwicklung von Mischern geht es oft nicht nur um die Effektivität, sondern auch um andere Faktoren wie die Kosten und die Komplexität der Herstellung. Die drei Modelle untersuchen einen laminaren statischen Mikromischer mit zwei parallelen Sets von Split-Reshape-Recombine ... Mehr lesen
This model demonstrates the inflation of a rubber balloon with four different hyperelastic material models. The results are compared with the analytical solution for a thin-walled, spherical vessel. Controlling the inflation of hyperelastic balloons is important in clinical ... Mehr lesen
Many piezoelectric materials are ferroelectric. Ferroelectric materials exhibit nonlinear polarization behavior, such as hysteresis and saturation at large applied electric fields. In addition, the polarization and mechanical deformations in such materials can be strongly coupled due to ... Mehr lesen
This model serves the purpose of validation and verification of the Linear Elastic Material, Layered model in the Shell interface. In COMSOL Multiphysics, composites are analyzed either based on Layerwise 3D elasticity theory through the Layered Shell interface or based on FSDT-ESL ... Mehr lesen
Delamination or the separation of layers is a common failure mode in laminated composite materials. Various factors, including loading, defects in the material, and environmental conditions can trigger the initiation and propagation of layer separation. This leads to degraded structural ... Mehr lesen
Große Lithium-Ionen-Akkus werden häufig in Elektrofahrzeugen und für stationäre Energiespeicheranwendungen eingesetzt. Beim Design der (gestapelten) Pouch-Akkuzellen verlässt der gesamte Strom die Zelle an den Zell-„Laschen“. Mit zunehmender Größe und Leistung der Zelle können die ... Mehr lesen
