Die Application Gallery bietet COMSOL Multiphysics® Tutorial- und Demo-App-Dateien, die für die Bereiche Elektromagnetik, Strukturmechanik, Akustik, Strömung, Wärmetransport und Chemie relevant sind. Sie können diese Beispiele als Ausgangspunkt für Ihre eigene Simulationsarbeit verwenden, indem Sie das Tutorial-Modell oder die Demo-App-Datei und die dazugehörigen Anleitungen herunterladen.
Suchen Sie über die Schnellsuche nach Tutorials und Apps, die für Ihr Fachgebiet relevant sind. Beachten Sie, dass viele der hier vorgestellten Beispiele auch über die Application Libraries zugänglich sind, die in die COMSOL Multiphysics® Software integriert und über das Menü File verfügbar sind.
This example investigates the electrical performance of a cascaded cavity filter operating in the millimeter-wave 5G band with temperature changes. The thermal variations result in structural deformations of the structure. Thus, the resonant frequencies of the filter elements (cavities) ... Mehr lesen
A transient model of a capacitor is solved in combination with an external electrical circuit. The finite element model of the capacitor is combined with a circuit model of a voltage source and a resistor. A step change in voltage is applied, and the transient current through the ... Mehr lesen
RFIDs are used in a multitude of applications such as tracking or identifying consumer products and their packaging. An RFID system consists of two main parts: A tag or transponder with a printed circuit-board (PCB) antenna A reader unit with a larger RF antennaThe reader antenna ... Mehr lesen
Patch antennas are becoming more common in wireless equipment, like wireless LAN access points, cellular phones, and GPS handheld devices. The antennas are small in size and can be manufactured with simple and cost-effective techniques. Due to the complicated relationship between the ... Mehr lesen
This model is of the P.57 Type 4.3 Full-band Ear Simulator. The model includes the geometry of the ear canal as well as the pinna defined in the ITU-T P.57 standard. The model also includes interpolation data for an ear drum impedance ensuring correct acoustic properties of the ear. The ... Mehr lesen
UHF RFID tags are widely used for identifying and tracking animals. This model simulates a passive radio-frequency identification (RFID) tag for the UHF frequency range. With respect to the chip transponder’s complex impedance, a reflection coefficient is computed. This is done using an ... Mehr lesen
This is a model of a MEMS microphone solved in the frequency domain including the DC prestress effects. The model is set up using the Electromechanics multiphysics interface, Thermoviscous Acoustics, and Pressure Acoustics. The microphone consists of a perforated plate and a prestressed ... Mehr lesen
A Gaussian electromagnetic wave is incident on a dense array of very thin wires (or rods). The distance between the rods and, thus, the rod diameter is much smaller than the wavelength. Under these circumstances, the rod array does not function as a diffraction grating (see the Plasmonic ... Mehr lesen
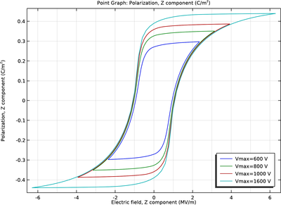
Ferroelectric materials exhibit nonlinear polarization behavior such as hysteresis and saturation at large applied electric fields. Many piezoelectric materials are ferroelectric. This model analyzes a simple actuator made of PZT piezoelectric ceramic material, which is subjected to ... Mehr lesen
A waveguide-type structure can be fabricated on a substrate by adding vias between the microstrip line and the ground plane. Such a device will behave as a high-pass filter and is attractive because it is easy to fabricate. A model is set up that shows the S-parameters as a function of ... Mehr lesen
