Die Application Gallery bietet COMSOL Multiphysics® Tutorial- und Demo-App-Dateien, die für die Bereiche Elektromagnetik, Strukturmechanik, Akustik, Strömung, Wärmetransport und Chemie relevant sind. Sie können diese Beispiele als Ausgangspunkt für Ihre eigene Simulationsarbeit verwenden, indem Sie das Tutorial-Modell oder die Demo-App-Datei und die dazugehörigen Anleitungen herunterladen.
Suchen Sie über die Schnellsuche nach Tutorials und Apps, die für Ihr Fachgebiet relevant sind. Beachten Sie, dass viele der hier vorgestellten Beispiele auch über die Application Libraries zugänglich sind, die in die COMSOL Multiphysics® Software integriert und über das Menü File verfügbar sind.
This app demonstrates the following: A model using symmetry while the results are visualized in full 3D Provides info if the results are above or below certain critical values Selecting predefined or user-defined materials Error control of geometry parameters using methods and ... Mehr lesen
This model demonstrates the use of the Heat and Moisture Flow features for the simulation of superheated steam drying of a wood particle. A nonequilibrium formulation is used to compute the transport of the liquid water and vapor phases in the wood particle. Reference: Le, K. H., ... Mehr lesen
This example is a model of a continuous casting process. Liquid metal is poured into a mold of uniform cross section. The outside of the mold is cooled and the metal solidifies as it flows through. When the metal leaves the mold, it is completely solidified on the outside, but still ... Mehr lesen
This application uses the Chemical Reaction Engineering Module to study an elementary, exothermic, irreversible reaction in a tubular reactor (liquid phase, laminar flow regime). To keep its temperature down, the reactor uses a cooling jacket with a constant coolant temperature. The ... Mehr lesen
When cooking food, such as a patty, in convection ovens there is a trade off in the heating method. If the patty is heated at a low oven temperature the cooking is slow and the patty dries out, resulting in a poor taste. If the patty is heated rapidly at a high temperature, it is ... Mehr lesen
When simulating surface-to-surface radiation, we rely on the view factors between elements of diffuse surfaces that emit and receive radiation. To compute surface-to-surface radiation in a given geometry, operators are created by the heat interface and can be used to evaluate view ... Mehr lesen
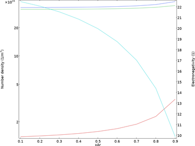
In this example, a hydrogen plasma reactor at moderate pressure is studied using a global model. The heavy species heat equation is included. In the first part of the study, a Maxwellian electron energy distribution function is used. In the second part, the global model is solved self ... Mehr lesen
Periodic microstructures are frequently found in composite materials, metallic foams, and sandwich structures. They can be described by a unit cell repeated along the three Cartesian directions. This app computes homogenized material properties of various periodic microstructures and ... Mehr lesen
Plate reactors running under continuous conditions have emerged as candidates to replace batch reactors, primarily in fine chemicals and pharmaceuticals production. One of the advantages of the plate reactor design is that it allows for efficient temperature control of the reacting ... Mehr lesen
This tutorial illustrates how to use the Uncertainty Quantification (UQ) functionality to answer questions regarding sensitivity and reliability of a flow reactor with thermal decomposition. The tutorial investigates what uncertainties in parameters dominates the survival of a nutrient ... Mehr lesen
