Die Application Gallery bietet COMSOL Multiphysics® Tutorial- und Demo-App-Dateien, die für die Bereiche Elektromagnetik, Strukturmechanik, Akustik, Strömung, Wärmetransport und Chemie relevant sind. Sie können diese Beispiele als Ausgangspunkt für Ihre eigene Simulationsarbeit verwenden, indem Sie das Tutorial-Modell oder die Demo-App-Datei und die dazugehörigen Anleitungen herunterladen.
Suchen Sie über die Schnellsuche nach Tutorials und Apps, die für Ihr Fachgebiet relevant sind. Beachten Sie, dass viele der hier vorgestellten Beispiele auch über die Application Libraries zugänglich sind, die in die COMSOL Multiphysics® Software integriert und über das Menü File verfügbar sind.
This tutorial demonstrates how to integrate multiple Lumped Battery models into the Electrical Circuit interface. Two batteries are connected in series. Each battery is protected by a shunt resistances that is activated if the battery state-of-charge reaches below a certain threshold ... Mehr lesen
A trimmer capacitor has a variable capacitance. One way of obtaining this is to use parallel facing electrodes with a variable overlap area. In this example, the capacitance can be changed by turning one electrode using a screwdriver. Typically a linear angular response is desired. ... Mehr lesen
Dieses Modell analysiert den Lärm, der von einem Elektromotor während seines Betriebs bei verschiedenen Drehzahlen erzeugt wird. Der analysierte Elektromotortyp, ein Permanentmagnet-Synchronmotor (PMSM), verwendet Permanentmagnete im Rotor und einen Strom mit variabler Frequenz, der ... Mehr lesen
This tutorial demonstrates how to model a gyroscope based on the birdbath resonator gyroscope (BRG) design. The BRG is a type of Coriolis vibratory gyroscope (CVG) invented at the University of Michigan as a navigation-grade gyroscope in the mm-scale. This tutorial shows how the ... Mehr lesen
Ein Tonpilz-Schallwandler wird für relativ niederfrequente Schallabstrahlung mit hoher Leistung verwendet. Er ist eine der beliebtesten Schallwandler-Konfigurationen für SONAR-Anwendungen. Der Schwinger besteht aus piezokeramischen Ringen, die zwischen einer Kopfmasse und einer Endmasse ... Mehr lesen
Lamb-wave resonators are useful components for many radio-frequency applications. This example shows how you model an aluminum nitride Lamb wave resonator and perform eigenfrequency and frequency-response analyses to characterize the device. The tutorial uses the Electric Currents in ... Mehr lesen
This model analyzes Joule heating and thermal expansion in a bond wire in an LED. Its purpose is to estimate the temperature increase and the resulting mechanical stresses in the bond wire due to thermal expansion. The magnitude of these stresses can be used to assess the risk of fatigue ... Mehr lesen
This tutorial models an ICP reactor by solving plasma fluid type equations fully coupled with the homogeneous and time-independent electron Boltzmann equation in the classical two-term approximation. The approximated Boltzmann equation is solved for each position of space and is coupled ... Mehr lesen
This model simulates a plasma at medium pressure (2 torr) where the plasma is still not in local thermodynamic equilibrium. At low pressures the two temperatures are decoupled but as the pressure increases the temperatures tend towards the same limit. Mehr lesen
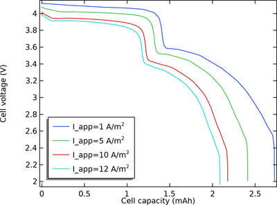
Sodium-ion batteries (SIB) are commonly presented as an alternative to lithium-ion batteries (LIB). The SIB chemistry uses Na+ instead of Li+ for electrolyte charge transport and as redox species in the electrode reactions, with the advantage of Na+ being more abundant and with a ... Mehr lesen
