Die Application Gallery bietet COMSOL Multiphysics® Tutorial- und Demo-App-Dateien, die für die Bereiche Elektromagnetik, Strukturmechanik, Akustik, Strömung, Wärmetransport und Chemie relevant sind. Sie können diese Beispiele als Ausgangspunkt für Ihre eigene Simulationsarbeit verwenden, indem Sie das Tutorial-Modell oder die Demo-App-Datei und die dazugehörigen Anleitungen herunterladen.
Suchen Sie über die Schnellsuche nach Tutorials und Apps, die für Ihr Fachgebiet relevant sind. Beachten Sie, dass viele der hier vorgestellten Beispiele auch über die Application Libraries zugänglich sind, die in die COMSOL Multiphysics® Software integriert und über das Menü File verfügbar sind.
A surface mount resistor is subjected to thermal cycling. The difference in the thermal expansion of different materials will introduce stresses in the structure. The solder which connects the resistor with the printed circuit board is seen as the weakest link in the assembly. It ... Mehr lesen
This example shows a 2D plane stress model of a thin tapered cantilever. Different boundary and load scenarios are examined. It is demonstrated how to apply and how to evaluate different load and constraint groups. Resulting stresses are compared to NAFEMS benchmark values and they are ... Mehr lesen
This model describes a static stress analysis to obtain the stress distribution in the vicinity of a small hole in an infinite plate. The model is a classic benchmark and is described in Mechanics of Material, by D. Roylance. The stress level is then compared with the theoretical values. Mehr lesen
This model showcases how to solve for the scattered field when knowing the incident field for three different types of scatterer, i.e. an infinitely rigid one, a cavity and an elastic inclusion. This formulation can be useful when the scatterer is in the far-field of the source, such ... Mehr lesen
Consider an infinitely long steel cylinder resting on a flat aluminum foundation, where both structures are elastic. The cylinder is subjected to a point load along its top. The objective of this study is to find the contact pressure distribution and the length of contact between the ... Mehr lesen
Imagine that you are designing a light-weight mountain bike frame that should fit in a box of a certain size and should weigh no more than 8 kg. Given that you know the loads on the bike, you can achieve this by distributing the available material while making sure that the stiffness of ... Mehr lesen
In this example, the Extended Barcelona Basic Model (BBMx) is used to model oedometer, uniaxial swelling, triaxial, and constrained swelling tests on bentonite clays in order to recover the hydromechanical characteristics of the soil samples. There is a good qualitative agreement ... Mehr lesen
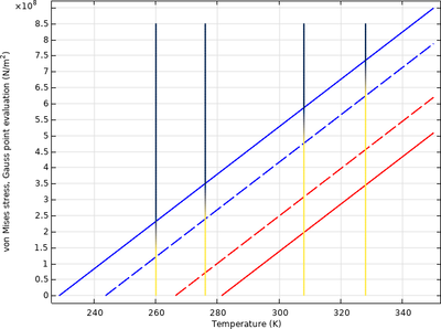
The model includes a compilation of benchmark examples included in the text book: Shape Memory Alloys: Modeling and Engineering Applications. D. Lagoudas Ed. Springer 2008. The model uses the Souza–Auricchio model and shows the thermomechanical properties of a NiTi alloy sample ... Mehr lesen
A standing contact fatigue test is a procedure used for testing crack growth on the subsurface level. In such a test, a spherical object is pressed against the tested materials and cycled between a high and low compressive load. No translational movement between the two occurs. After a ... Mehr lesen
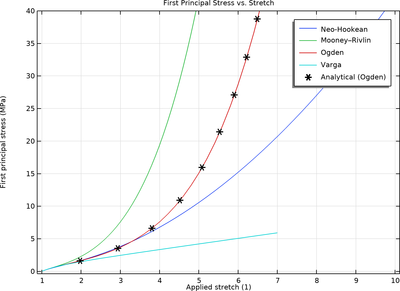
This model demonstrates the inflation of a rubber balloon with four different hyperelastic material models. The results are compared with the analytical solution for a thin-walled, spherical vessel. Controlling the inflation of hyperelastic balloons is important in clinical ... Mehr lesen
