Die Application Gallery bietet COMSOL Multiphysics® Tutorial- und Demo-App-Dateien, die für die Bereiche Elektromagnetik, Strukturmechanik, Akustik, Strömung, Wärmetransport und Chemie relevant sind. Sie können diese Beispiele als Ausgangspunkt für Ihre eigene Simulationsarbeit verwenden, indem Sie das Tutorial-Modell oder die Demo-App-Datei und die dazugehörigen Anleitungen herunterladen.
Suchen Sie über die Schnellsuche nach Tutorials und Apps, die für Ihr Fachgebiet relevant sind. Beachten Sie, dass viele der hier vorgestellten Beispiele auch über die Application Libraries zugänglich sind, die in die COMSOL Multiphysics® Software integriert und über das Menü File verfügbar sind.
This benchmark model computes the total force acting on a vibrating disc in the frequency and time domains and compares both results with expressions derived analytically. When the vibration amplitude is small enough that the system is linear the frequency and time domain results agree ... Mehr lesen
This model computes the particle flux, number density and pressure on the surface of a plate that rotates in a highly directional molecular flow. The results obtained are compared with those from other, approximate, techniques for computing molecular flows. Mehr lesen
A stationary 3D model of a generic fuel cell cathode describing the mass fraction distribution of oxygen, water, and nitrogen, as well as the current distribution. The model uses Darcy's Law to describe convection, and couples this to Maxwell-Stefan diffusivities to also describe mass ... Mehr lesen
Copper electrowinning is the process of copper extraction from an electrolyte solution and its deposition at the cathode surface, by passing an external current through the electrolytic cell and using an insoluble anode. During the process, oxygen bubbles are generated at the anode ... Mehr lesen
This example models co-electrolysis of H2O and CO2 using a solid oxide electrolyzer cell. The model includes the full coupling between the mass balances and gas flow in the H2 and O2 gas diffusion electrodes, the momentum balances in the H2 and O2 gas flow channels, the energy balance ... Mehr lesen
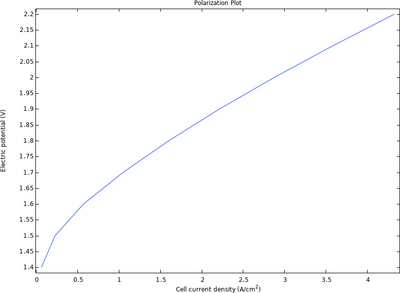
Dieses Modell stellt eine Studie über die Stromdichteverteilung in einer Festoxid-Brennstoffzelle (SOFC) vor. Das Modell umfasst die vollständige Kopplung zwischen den Massenbilanzen an der Anode und der Kathode, den Impulsbilanzen in den Gaskanälen, dem Gasfluss in den porösen ... Mehr lesen
In diesem Beispiel wird eine Festoxid-Elektrolysezelle modelliert, in der Wasserdampf reduziert wird, um an der Kathode Wasserstoffgas zu bilden, und an der Anode Sauerstoffgas entsteht. Die Stromverteilung in der Zelle ist mit dem kathodenseitigen Stofftransport von Wasserstoff und ... Mehr lesen
This tutorial models how the relative humidity of the inlet gases impacts the performance of a low-temperature polymer electrolyte membrane-electrode assembly. The model includes humidity-dependent ionomer (electrolyte) conductivities, gas phase mass transport and water ionomer ... Mehr lesen
In a polymer electrolyte membrane water electrolyzer cell, hydrogen and oxygen gas is produced by electrolysis. The hydrogen and oxygen compartments are separated by a polymer membrane, that also acts as electrolyte. This introductory tutorial computes the ohmic and activation losses in ... Mehr lesen
This example extends the Fuel Cell Cathode tutorial to also include liquid water transport in the oxygen electrode. Liquid water is produced using a user-defined expression for vapor condensation, depending on the relative humidity level in the gas phase. An experimental capillary ... Mehr lesen
