Die Application Gallery bietet COMSOL Multiphysics® Tutorial- und Demo-App-Dateien, die für die Bereiche Elektromagnetik, Strukturmechanik, Akustik, Strömung, Wärmetransport und Chemie relevant sind. Sie können diese Beispiele als Ausgangspunkt für Ihre eigene Simulationsarbeit verwenden, indem Sie das Tutorial-Modell oder die Demo-App-Datei und die dazugehörigen Anleitungen herunterladen.
Suchen Sie über die Schnellsuche nach Tutorials und Apps, die für Ihr Fachgebiet relevant sind. Beachten Sie, dass viele der hier vorgestellten Beispiele auch über die Application Libraries zugänglich sind, die in die COMSOL Multiphysics® Software integriert und über das Menü File verfügbar sind.
This model demonstrates how to perform simulations of an absorbing bandstop color filter, based on a hexagonal array of holes in a thin aluminum layer. The structure is hexagonally periodic but this example also shows how to set the model up as rectangularly periodic. Mehr lesen
Planare photonische Wellenleiter aus Siliziumdioxid (SiO2) haben ein großes Potenzial für den Einsatz in Anwendungen des Wavelength Routing. Das größte Problem bei dieser Art von Wellenleitern ist die Doppelbrechung. Anisotrope Brechungsindizes führen zu einer Aufspaltung der Grundmoden ... Mehr lesen
Ein Hochtöner ist ein Hochfrequenztreiber, der in Lautsprechersystemen verwendet wird. Ein idealer Hochtöner erzeugt unabhängig von der Frequenz einen konstanten Schalldruckpegel in einem bestimmten Abstand vor dem Treiber, d.h. einen flachen Frequenzgang. Im Idealfall behält der ... Mehr lesen
Just like optical lenses focus light, electric and magnetic lenses can be used for focusing beams of charged particles. This COMSOL Multiphysics model shows the path of B5+ ions passing through a focusing system of three magnetic quadrupoles. Each of the quadropoles focus the beam of ... Mehr lesen
This example of a dipole antenna array demonstrates a cost-effective analysis using the Boundary Element Method (BEM). When dealing with a large array made of metallic radiators, the Finite Element Method (FEM) would necessitate greater computational resources. The simulation results ... Mehr lesen
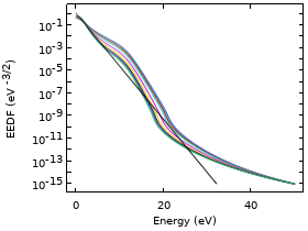
In this example, a hydrogen plasma reactor at moderate pressure is studied using a global model. The heavy species heat equation is included. In the first part of the study, a Maxwellian electron energy distribution function is used. In the second part, the global model is solved self ... Mehr lesen
This example model calculates the bistatic radar cross section (RCS) per unit length of a circle using the Electromagnetic Waves, Time Explicit physics interface. A 2D circle is excited by a 200 MHz sinusoidal signal modulated by a temporal Gaussian pulse. A wideband RCS frequency ... Mehr lesen
All integrated circuits (ICs) — especially high-speed devices — produce heat. In today’s dense electronic system layouts, heat sources are many times placed close to heat-sensitive ICs. Designers of printed circuit boards often need to consider the relative placement of heat ... Mehr lesen
In diesem Beispiel wird eine heterogene NMC-Elektrodenstruktur (Nickel-Mangan-Kobalt) mit Hilfe einer Modellmethode aus Tomographiedaten erzeugt. Anschließend werden Simulationen der zeitabhängigen Entladung und der elektrochemischen Impedanzspektroskopie (EIS) an der vollständigen 3D ... Mehr lesen
This model, dealing with the current and potential distribution around one pair of electrodes, demonstrates how to synchronize and modify geometry in SOLIDWORKS® by using the LiveLink™ interface with a parametric sweep. Mehr lesen
