Die Application Gallery bietet COMSOL Multiphysics® Tutorial- und Demo-App-Dateien, die für die Bereiche Elektromagnetik, Strukturmechanik, Akustik, Strömung, Wärmetransport und Chemie relevant sind. Sie können diese Beispiele als Ausgangspunkt für Ihre eigene Simulationsarbeit verwenden, indem Sie das Tutorial-Modell oder die Demo-App-Datei und die dazugehörigen Anleitungen herunterladen.
Suchen Sie über die Schnellsuche nach Tutorials und Apps, die für Ihr Fachgebiet relevant sind. Beachten Sie, dass viele der hier vorgestellten Beispiele auch über die Application Libraries zugänglich sind, die in die COMSOL Multiphysics® Software integriert und über das Menü File verfügbar sind.
Windturbinen sind eine zunehmend beliebte Quelle für erneuerbare Energie. Daher sind das Design, die Analyse und die Herstellung von Windturbinen für die Energiewirtschaft von großer Bedeutung. Die Turbinenblätter sind entscheidende Komponenten einer Windturbine. Bei der Erzeugung von ... Mehr lesen
Perforates are plates with a distribution of small perforations or holes. They are used in muffler systems, sound absorbing panels, and in many other places as liners, where it is important to control attenuation precisely. As the perforations become smaller and smaller, viscous and ... Mehr lesen
A classic benchmark problem in computational electromagnetics is to solve for the radar cross section (RCS) of a sphere in free space illuminated by a plane wave. This model solves for the RCS of a metallic sphere that has a very high conductivity, which can be treated as a material with ... Mehr lesen
This example replicates the results of the Jelly Roll tutorial example using a flattened representation of the wound spiral-based geometry. See that model entry for details on the background, original geometry, materials, and the general physics setup. Mapping the original problem to a ... Mehr lesen
Dieses Beispiel zeigt, wie Sie einen Lautsprecher MIT dynamischem Konus modellieren können, der für niedrige und mittlere Frequenzen verwendet wird. Die Analyse wird im Frequenzbereich durchgeführt und stellt somit das lineare Verhalten des Treibers dar. Die Modellanalyse umfasst die ... Mehr lesen
In diesem Beispiel wird die Kopplung zwischen Multibody Dynamics und Rotating Machinery, Magnetic zur Durchführung elektromagnetischer und mechanischer Analysen demonstriert. Ein Permanentmagnetmotor mit 10 Rotorpolen und 12 Statornuten wird in 2D modelliert. Die Magnete sind am Umfang ... Mehr lesen
An important step in brewing beer is the fermentation process. Here, alcohol is formed together with various flavor substances from sugars in the presence of yeast. The initial sugar content, temperature, and yeast type dictate how the fermentation proceeds. In this example, the ... Mehr lesen
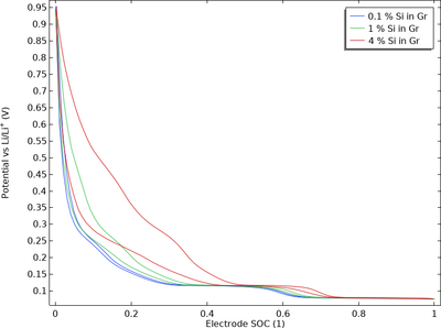
Due to its high capacity, silicon (Si) is often added to graphite in the negative electrode of lithium-ion batteries. Silicon–graphite blended electrodes may exhibit significant thermodynamic voltage hysteresis (“path dependence”) because the equilibrium potential of the lithium–silicon ... Mehr lesen
In a diode or a transistor, when a p-n junction is reverse-biased (the p-side is connected to a lower potential than the n-side), ideally, no current should flow. However, due to minority carriers (electrons in the p-side and holes in the n-side), a small current, known as the reverse ... Mehr lesen
A waveguide-type structure can be fabricated on a substrate by adding vias between the microstrip line and the ground plane. Such a device will behave as a high-pass filter and is attractive because it is easy to fabricate. A model is set up that shows the S-parameters as a function of ... Mehr lesen
