Sehen Sie, wie die Multiphysik-Simulation in verschiedenen Branchen eingesetzt wird
Multiphysik-Modellierung und -Simulation treiben Innovationen in Industrie und Wissenschaft voran – wie die zahlreichen Anwendungsbeispiele zeigen, die jedes Jahr in den Fachbeiträgen und Postern von Ingenieuren, Forschern und Wissenschaftlern auf der COMSOL Conference vorgestellt werden. Lassen Sie sich von den unten aufgeführten aktuellen Beiträgen inspirieren oder nutzen Sie die Schnellsuche, um eine bestimmte Präsentation zu finden oder nach Anwendungsbereich oder Konferenzjahr/-ort zu filtern.
Sehen Sie sich die Kollektion für die COMSOL Conference 2024 an
This paper will describe the dependence of capacitive accelerometer characteristics on the accelerometers physical dimension and its material properties. The sense element of the accelerometer is designed on the basis of a commercially available torsion based accelerometer technology. ... Mehr lesen
In this work, a MEMS based condenser microphone [1,2] using Polyimide as the diaphragm has been designed. The microphone structure has a backplate placed on top of the diaphragm. The backplate and the diaphragm are made up of polyimide. The two polyimide plates are separated by air gap ... Mehr lesen
In Pressurised Heavy Water Reactors (PHWRs), the fuel bundles are located inside horizontal pressure tubes made of Zr 2.5 wt% Nb alloy. During reactor operation, pressure tubes undergo corrosion reaction with the heavy water coolant flowing through it and picks up a part of the hydrogen ... Mehr lesen
Realising the interlinkage of nature and engineering are of paramount essential while comprehending the basics of system’s performances. Application of biotechniques in air pollution control is one such emerging scientific area, where the understandings of these complex systems demand ... Mehr lesen
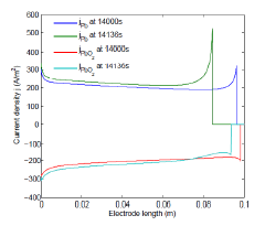
Failure of conventional lead-acid battery is attributed to degradation of solid active mass (PbO2 and PbSO4 ). A number of research efforts are underway worldwide to overcome degradation of active mass to improve the cycle life of lead-acid batteries. Soluble lead-acid flow battery ... Mehr lesen
At present, a great deal of research effort has been directed to find eco-friendly and renewable sources of energy. With the rising costs of crude oil and petroleum, along with the derogatory effects that they pose to the environment, this sort of approach is of utmost importance. This ... Mehr lesen
The Direct Methanol Fuel Cell (DMFC) working is dependent on the concentration of methanol in water before it is introduced in the anode. DMFC has a high energy density when generating electrical power from fuel, and is an attractive power source for portable devices. A fundamental ... Mehr lesen
Electroosmotic flow of power-law fluids in a slit channel(1D) is analyzed. The governing equations are the Poisson–Boltzmann equation, the Cauchy momentum equation, Generalized Smoluchowski equation and the continuity equation are used to get shear stress, dynamic viscosity, and velocity ... Mehr lesen
This paper focuses on the diaphragm design and optimization of a piezoresistive Micro Electro Mechanical System (MEMS) pressure sensor by considering Very Large Scale Integration (VLSI) layout schemes. The aim of these studies is to find an optimal diaphragm shape by Finite Element ... Mehr lesen
Reduction of the engine vibration and the dynamic forces transmitting from engine to the automotive body structure has always been an important part of automotive research. Automobile engineers face the task of creating a mechanism to absorb these vibrations and provide a smooth ride. ... Mehr lesen
