Sehen Sie, wie die Multiphysik-Simulation in Forschung und Entwicklung eingesetzt wird
Ingenieure, Forscher und Wissenschaftler aus allen Branchen nutzen die Multiphysik-Simulation, um innovative Produktdesigns und -prozesse zu erforschen und zu entwickeln. Lassen Sie sich von Fachbeiträgen und Vorträgen inspirieren, die sie auf der COMSOL Conference präsentiert haben. Durchsuchen Sie die untenstehende Auswahl, verwenden Sie die Schnellsuche, um eine bestimmte Präsentation zu finden, oder filtern Sie nach einem bestimmten Anwendungsbereich.
Sehen Sie sich die Kollektion für die COMSOL Conference 2024 an
基于磁流体动力学与Maxwell方程组,建立微束等离子弧焊电弧的二维轴对称模型,应用COMSOL软件进行求解计算,得到了微束等离子弧焊的电弧温度场、流场、电流密度、电弧所受洛伦兹力以及工件表面电弧压力分布情况,并通过实验所拍摄的电弧形态对模拟的温度场加以验证。结果表明微束等离子弧焊电弧温度、等离子体速度与电弧所受洛伦兹力具有相同的变化趋势,均从阴极到阳极先增大后减小,从电弧中心逐渐向四周降低,最大值出现在喷嘴内部中心区域;电弧电流密度在阴极下端面取得最大值,在工件上表面取得最小值,且从阴极到阳极减小速度呈一个先减小后增大再减小的趋势;电弧压力与等离子体流速径向变化相同 ... Mehr lesen
摘要 微通道换热器是一种高效换热设备,与普通换热器相比,微型换热器体积小,传热系数高,具有广泛的应用前景。微型换热器的实验研究存在较大的难度,而数值模拟则是深入研究微型换热器的重要方法。本文采用通用商用软件 comsol模拟了微型错流式换热器(MCHE)。 与传统换热器不同,微型换热器固体材料内部沿流体流动方向的热传导会显著地影响换热性能,而以往针对这方面研究是非常有限的。在本文中,通过数值模拟的方法研究了流速对MCHE温度场、压力场、换热系数、局部努塞尔数分布等的影响。 关键词:微型错流换热器,轴向导热,数值研究,总传热系数 Mehr lesen
As the demand for lightweight fibrous insulation materials in aerospace [1] and automotive [2] applications increases due to their benefits in reducing carbon footprints and costs [3], accurate prediction of thermal properties becomes crucial, particularly before production. The thermal ... Mehr lesen
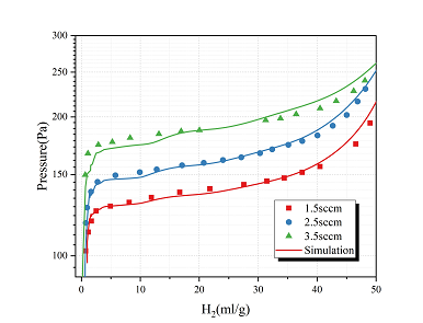
氢能燃烧值高且无污染,被认为是人类社会摆脱对化石能源依赖的理想能源。目前氢能应用的主要瓶颈是氢存储。而氢存储的主要方式中,金属氢化物因其安全性高,循环性能好的优点,得到广泛的研究。但由于金属氢化物吸放氢反应的热效应、粉末床的传热和传质特性较差等问题,贮氢罐的吸放氢速率下降,成为限制应用的主要因素。最近十几年,贮氢罐吸放氢过程的数值模拟及相关模型得到广泛的研究。通过数值模拟方法可以优化设计贮氢罐,以期满足实际应用中的需求,同时节约设计成本。本文面对贮氢罐的实际指标(吸氢速率1.5 L min-1),采用COMSOL软件中的多孔介质传热、地下流动以及数学模块 ... Mehr lesen
为了提高连续流微波反应器的物料温升以及加热均匀性,设计了一种具有特殊形状管道的连续流动矩形微波反应器。运用COMSOL软件,参考了案例库中微波加热土豆的模型,将CFD模块与RF模块进行耦合计算。使用的材料为空气、水、玻璃与铜,其中水的相对介电常数与磁导率为自己输入,其余材料参数均为系统默认参数。使用的物理场包括电磁波-频域、层流与流体传热。计算所使用的研究为顺序频域-瞬态,在将流场与电磁场耦合计算之前,先对流场进行了流动稳态计算,并将此结果作为耦合研究中的初始值开始计算。运用软件改变各个参数,探究了物料流速、馈口功率 ... Mehr lesen
当高温超导体内部出现温升时,其临界电流密度会发生改变。为探索这种温度效应对高温超导磁悬浮的影响,本文利用COMSOL软件,结合AC/DC 模块及传热模块,建立了悬浮于永磁轨道上方的高温超导块材二维实体模型,以磁轨的小幅振动模拟轨道不平顺。模型基于非连续性超导体E-J磁通流动与蠕动电磁本构关系,考虑不同温度-临界电流密度Jc(T)关系表达式,研究了高温超导块材在磁场不平顺激扰下的磁-热-力动态行为特性。并探究了不同Jc(T)关系对仿真模型求解效率及收敛性的影响。该工作将为高温超导磁悬浮磁-热效应及能量损耗问题的研究提供一定的仿真手段。 Mehr lesen
注蒸汽热力采油是稠油开发的一种有效方法,它涉及到储层地质、采油工程、传热学、经济分析等多门学科,是一项复杂、技术难度大的系统工程。研究蒸汽吞吐的热力学过程,包括井筒内饱和水蒸汽温度/压力传输、储层内多相流传质传热等,对于优选热采井生产方式和工作制度、提高采收率具有重要意义。本研究针对注蒸汽热采过程,将井筒与储层作为一个统一的系统,考虑井口注汽参数与储层吸汽能力之间的协调关系以及储层温度场、流体场、固体场之间的耦合关系,基于连续介质力学、流体力学、渗流力学、热弹性力学及传热学等相关理论,建立了反映变温、变形影响的井筒-储层耦合数学模型。基于COMSOL ... Mehr lesen
基于纸基微流控芯片(μPAD)的核酸提取和扩增反应需均匀稳定、快速响应的热源。半导体制冷器具有无需制冷剂和体积小等优点,可为纸基芯片提供便携式、低功耗分析平台。相较于其他传统核酸扩增与检测设备,μPAD可以借助内部纤维结构的毛细作用自驱动输送流体介质。并且,微尺度下纤维结构具备较高的比表面积,在原理上可改善常规比色、荧光等检测方法的检出限和精准度。然而,滤纸材料本征参数对试剂溶液动态扩散过程和反应结果影响很大,数值仿真模拟是μPAD性能分析和优化设计的重要途径。本文应用COMSOL®热电效应耦合模块和非等温流动耦合模块,获取芯片内部的温度场信息,评价μPAD温控系统设计 ... Mehr lesen
在电池的性能比较过程中总存在温升、恒流比、容量保持率、倍率性等电性能比较,其中影响这些性能的重要参数就是电池的极化大小。然而现实使用中极化很难以量化,仅仅用直流或者交流内阻来表示还显得单一且不具有说服力,所以寻求一种能够量化的手段从而来衡量电池的极化具有重要意义。通过极化的占比分析还可以分析哪一种极化影响较大,从而为电池的设计优化提供可靠的方向指导。 鉴于上述描述,我们开发了一种充放电过程中极化仿真方法及模型。在COMSOL® 软件的一维模型中定义编辑正负极以及隔膜电解液处反应极化方程和积分,然后利用“电池与燃料电池模块 ... Mehr lesen
储氢合金的PCT曲线和氢化动力学性能是描述合金储氢性能的重要标准,目前对合金的PCT曲线测试一般采用体积法,对合金氢化反应动力学的研究一般采用等容差压法。但在实际生产过程中,储氢合金通常是在恒定氢气流速的情况下工作的,所以研究合金在恒定氢气流速条件下的吸氢动力学性能很有必要。与实验相比,采用数值模拟预报合金的吸放氢性能节省了大量的时间和成本,具有突出优势。目前金属Pd及其合金被广泛应用于储氢及氢气纯化等领域,我们通过COMSOL软件建模,构建Pd吸氢热力学与动力学特性模型,选用传热、流体流动、域常微分等物理场模块建立了Pd在恒定氢气流速下吸氢动力学的计算模型 ... Mehr lesen
