COMSOL Conference 2025 Proceedings
Vom Program Committee akzeptierte Sammlung von Beiträgen, Postern und Präsentationen
Auf der COMSOL Conference 2025 stellten Ingenieure, Forscher und Wissenschaftler aus aller Welt ihre Nutzung von Modellierung und Simulation in allen wichtigen Branchen und im akademischen Bereich vor. Verwenden Sie die Schnellsuche, um eine bestimmte Präsentation zu finden, oder filtern Sie nach Thema oder Veranstaltungsort. ISBN: 978-1-7364524-3-1
Laser assisted brazing with Al-Si fillers in V-shaped groove configuration is a perspective method for joining of aluminum alloys to titanium. The present work introduces multiscale model that allows estimating diffusion process at titanium/melted zone interface in function of thermal ... Mehr lesen
The Levant has been repeatedly devastated by numerous earthquakes since prehistorical times. In order to understand the role of the dynamics of the water bodies in triggering the deformations in the Levant basin, a new theoretical thermo-mechanical model is constructed and extended by ... Mehr lesen
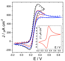
The microband design of microelectrodes is a cost-effective and easily-fabricated compromise combining convergent mass transport, due to microscale width as a critical dimension, and high output currents due to the macroscopic length. Among the various techniques available for microband ... Mehr lesen
The confinement clean rooms used in industry are susceptible to higher count of particles per cubic meter of air after the usual work program. To decrease the economic and technological effects of particle concentration a micro-cleaning device was elaborated. A first approach of a 3D ... Mehr lesen
A 3D thermo-mechanical simulation was developed using COMSOL Multiphysics software in order to predict distortion of a welded dissimilar titanium alloys structure. An angular distortion and a longitudinal shrinkage are predicted in agreement with those obtained experimentally. Mehr lesen
Electric field distributions along a polymeric insulator under wet and contaminated conditions were studied in this paper. To study the effect of pollution layer conductivity and thickness on the electric field distribution along a standard polymeric insulator, simulations were carried ... Mehr lesen
Electric field distribution along an insulator surface is of prime importance for the long term performance of insulators. In this paper electric field and potential distribution along a standard 33 kV polymeric insulator were investigated under different pollution conditions. Effect of ... Mehr lesen
This paper presents the investigation into the phenomena during batch reactor vessel mixing comparing agitation equipment; the Rushton turbine and the Marine propeller; in the production of bioethanol by yeast fermentation. The key factors addressed in selecting equipment were fluid ... Mehr lesen
The subsurface thermal regime has been investigated in boreholes from southern Norway. During the purely conductive 2D thermal modeling, the COMSOL Heat Transfer for Solids interface has been used to simulate heat transfer by heat conduction. COMSOL physics interfaces Heat Transfer in ... Mehr lesen
Numerical simulation can be advantageously employed to predict the main cell features (e.g., the reaction rate distribution on the electrodes, the cell voltage, or the electrolyte temperature) in order to optimize the design and operational conditions of the process. In this poster, we ... Mehr lesen
