Die Application Gallery bietet COMSOL Multiphysics® Tutorial- und Demo-App-Dateien, die für die Bereiche Elektromagnetik, Strukturmechanik, Akustik, Strömung, Wärmetransport und Chemie relevant sind. Sie können diese Beispiele als Ausgangspunkt für Ihre eigene Simulationsarbeit verwenden, indem Sie das Tutorial-Modell oder die Demo-App-Datei und die dazugehörigen Anleitungen herunterladen.
Suchen Sie über die Schnellsuche nach Tutorials und Apps, die für Ihr Fachgebiet relevant sind. Beachten Sie, dass viele der hier vorgestellten Beispiele auch über die Application Libraries zugänglich sind, die in die COMSOL Multiphysics® Software integriert und über das Menü File verfügbar sind.
In the diffuse double layer and within the first few nanometers of an electrode surface, the assumption of electroneutrality is not valid due to charge separation. Typically, the diffuse double layer may be of interest when modeling very thin layers of electrolyte including those in ... Mehr lesen
Dieses Beispiel modelliert die Strömung in einer 90-Grad-Rohrbiegung. Die Strömung wird mit dem k-omega Turbulenzmodell simuliert. Das Ergebnis wird mit technischen Korrelationen verglichen. Mehr lesen
This example shows how to compute thermally induced stresses in a turbine stator blade using the Thermal Stress, Solid interface. The conditions within gas turbines are extreme. The pressure can be as high as 40 bar, and the temperature more than 1000 K. Any new component must therefore ... Mehr lesen
The present model example is based on Copper Deposition in a Trench model available in Electrodeposition Application Library. The nonuniform deposition along the trench surface leads to formation of a cavity/void. Since the Deformed Geometry interface cannot handle topological changes, ... Mehr lesen
Das vorliegende Modellbeispiel basiert auf dem Modell „Kupferabscheidung in einem Trench“, das in der Electrodeposition Application Library verfügbar ist. Die ungleichmäßige Abscheidung entlang der Trenchoberfläche führt zur Bildung eines Hohlraums. Da das Interface Deformed Geometry ... Mehr lesen
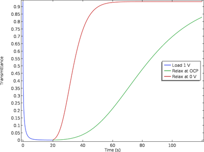
Electrochromic devices (ECDs) may be employed in ”smart” windows, for instance in buildings or motor cycle visors, where the transparency of the device can be controlled by applying a voltage. ECDs make use of the fact that the absorbance of visual light for a chemical species in a ... Mehr lesen
This tutorial shows how to model the propagation of acoustic waves in large pipe systems by coupling the Pipe Acoustics interface to the Pressure Acoustics interface. The tutorial is set up in both the time domain and the frequency domain. 1D pipe acoustics is used to model the ... Mehr lesen
Mit dieser Serie von acht Tutorial-Modellen und der dazugehörigen Dokumentation können Sie die resistiven, kapazitiven, induktiven und thermischen Eigenschaften eines standardmäßigen dreiadrigen bleiummantelten XLPE-HVAC-Unterseekabels mit verdrillter Magnetarmierung (500 mm2, 220 kV) ... Mehr lesen
Zweck dieser App ist es, die Anwendung der Cyclovoltammetrie zu demonstrieren und zu simulieren. Sie können die Massenkonzentration beider Spezies, die Transporteigenschaften, die kinetischen Parameter sowie das Zyklusspannungsfenster und die Scanrate variieren. Die Cyclovoltammetrie ... Mehr lesen
Der Zweck dieser App ist es, EIS-, Nyquist- und Bode-Plots zu verstehen. Mit der App können Sie die Volumenkonzentration, den Diffusionskoeffizienten, die Austauschstromdichte, die Doppelschichtkapazität sowie die maximale und minimale Frequenz variieren. Die elektrochemische ... Mehr lesen
