Die Application Gallery bietet COMSOL Multiphysics® Tutorial- und Demo-App-Dateien, die für die Bereiche Elektromagnetik, Strukturmechanik, Akustik, Strömung, Wärmetransport und Chemie relevant sind. Sie können diese Beispiele als Ausgangspunkt für Ihre eigene Simulationsarbeit verwenden, indem Sie das Tutorial-Modell oder die Demo-App-Datei und die dazugehörigen Anleitungen herunterladen.
Suchen Sie über die Schnellsuche nach Tutorials und Apps, die für Ihr Fachgebiet relevant sind. Beachten Sie, dass viele der hier vorgestellten Beispiele auch über die Application Libraries zugänglich sind, die in die COMSOL Multiphysics® Software integriert und über das Menü File verfügbar sind.
A cascaded cavity filter provides much better bandpass filter performance compared to a single cavity. Out-of-band rejection improves dramatically using a cascaded design. This model uses three rectangular cavity filters coupled via slots. The calculated S-parameters show excellent out ... Mehr lesen
This tutorial model demonstrates how to compute the impedance of a capacitively coupled plasma. The Time Periodic study computes the time periodic solution of the plasma. Subsequently, the solution is transformed to the time domain, after which the fast Fourier transform (FFT) solver is ... Mehr lesen
This tutorial model simulates a pair of straight conical bevel gears. The gears are modeled as rigid, but one of the gears is fixed while the other is hinged on a rigid bar. The rigid bar is also hinged at a point lying on the axis of the fixed gear. A transient analysis is performed to ... Mehr lesen
The heat exchanger in this tutorial model contains a dynamic wall with an oscillating wave shape. The deformation induces mixing in the fluid and reduces the formation of thermal boundary layers. Hence, it increases heat transfer between the walls and the fluid. In addition, the wave ... Mehr lesen
This example models cathodic protection of a steel reinforcing bar in concrete. Three different electrochemical reactions are considered on the steel surface. Charge and oxygen transport are modeled in the concrete domain, where the electrolyte conductivity and oxygen diffusivity depend ... Mehr lesen
This benchmark model computes the load-carrying capacity of a one dimensional hydrodynamic step bearing. The results are compared with analytic expressions obtained by solving the Reynolds equations directly in this simple case. Mehr lesen
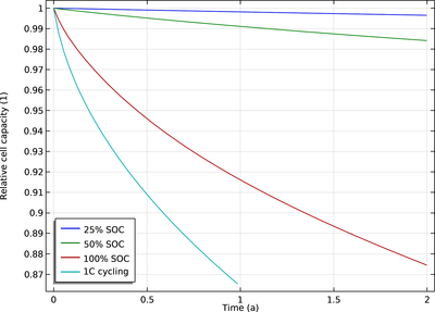
This tutorial demonstrates the Lumped Battery interface for modeling capacity loss in a battery. A set of lumped parameters are used to describe the capacity loss that occurs due to parasitic reactions in the battery, assuming no knowledge of the internal structure or design of the ... Mehr lesen
The installation verification application can be used to help verify that your COMSOL Multiphysics® or COMSOL Server™ installation works as expected on your hardware platforms and operating systems. The app automatically loads and runs a suite of test models and compares the results with ... Mehr lesen
This tutorial model solves for a one-dimensional capacitively coupled plasma reactor in a mixture of argon/oxygen. Important aspects and strategies for modeling electronegative discharges are discussed. Mehr lesen
In this example, the importance of including elastic deformations when analyzing heavily loaded fluid-film bearings is investigated. The structural parts are modeled using the Solid Mechanics interface, while the pressure in the lubricant is determined by the means of the Hydrodynamic ... Mehr lesen
